何予川 雷鸣 安新代 李福生
(规划处)
(摘要) 通过对圣维南方程组数值解法及差分格式的比选,构造了小浪底电站调峰非恒定流的非线性方程组,并采用双扫描法设计了数学模型。对实测资料的试算表明,模型较好地模拟了该河段的非恒定流演进过程。
(关键词) 数学模型 非恒定流 水电站 小浪底水库
黄河小浪底水利枢纽位于河南省洛阳市东北41km,电站装机6×30万kW,是河南电网的骨干调峰电站。设计资料表明,小浪底水电站在充分参与河南电网调峰运用的条件下,在中等枯水年份及设计枯水年,电站日停机10小时左右,平水年停机时间亦达6~8小时,日内电站下泄流量变幅在0~1500m3/s之间,在水库下游形成非稳定流态。由于坝下干流沿岸分布有众多的引提水工程,因此,电站调峰形成的非稳定流态可能影响该河段引提水工程的正常用水。同时,还会对下游河道水质及生态环境产生不利影响,甚至还可能影响到水库的运用方式。
1 一维非恒定流数学模型设计
1.1 一维非恒定流的基本方程组

明槽一维非恒定渐变流的方程组也称圣维南方程组。其形式如下:
方程中:Z―水位;Q―流量;t―时间;s―距离;B―水面宽;A―过水面积; K―流量模数;g―重力加速度。
1.2 圣维南方程组求解方法的选择
从数学概念上讲,圣维南方程组是具有两个独立变量s(距离)、t(时间)和两个从属变量Z(水位)、Q(流量)的一阶拟线性双曲型微分方程组。这类方程组目前在数学上尚无精确的解析解法,工程上只能藉助于数值方法和简化方法近似计算。随着计算机应用的发展,目前更趋于数值方法求解圣维南方程。
根据离散方程的不同,数值解法分为特征线法、差分法和有限元等多种。有限元法用于边界复杂、水面宽阔的二元水流,如河口、海湾的潮汐水力计算,而明槽非恒定流大多属一元流动;而特征线法应用于天然河道存在很多问题,工程中常用的方法是直接差分法。
直接差分法是将圣维南方程组的微商直接改为差商,再对由此得到的一组代数方程进行联解。直接差分法又分为显格式、隐格式两种。显格式具有计算简单、程序编制方便、计算速度快的特点,但显格式多用于断面规则的渠道,用于天然河道则很难取得理想的近似解。本次模型求解采用隐式差分法。
1.3 数值解常见问题与隐式差分格式的选择
受电网系统的电力电量平衡影响,小浪底电站的泄流表现为迅变和间断流动,同时兼有连续波和断波(如电站负荷改变)等流态。实际数值计算中,常用的求解圣维南方程组的差分方法常告失败,或不稳定,或数值解含有振动,或间断被抹平分辨率低。
不稳定问题。非恒定流数值解空间失稳问题,在数学上是拟线性双曲型方程组解答间断的反映,在物理上是由于水域边界条件曲折复杂,水底地形起伏过大,存在局部急变流或局部不连续问题。
间断问题。在计算涨落率很大的洪水波演进问题时,数值解法常遭失败。原因通常在于所用差分格式的非线性不稳定性,这种不稳定性不能通过缩短显格式的时间步长或使用无条件稳定的隐格式加以克服。有些格式虽然能保证计算稳定性(如Lax-Friedrichsf格式等单调格式),但因所含耗散太强,致使数值解过分光滑,尤其是间断在很宽的范围内被展平。如采用二阶中心格式(如Lax-Wendrof格式),并加以适当的人工耗散以保证计算稳定,则在间断的附近会出现伪振荡(过冲及欠冲)。
因此模型对差分格式提出了下列要求:(1)能够模拟间断,并对间断有较强的分辨率;(2)不产生伪振荡,并且计算稳定。根据有关研究文献成果,本次模型设计采用改进的Preissmann.A四点时空偏心格式。该格式基本能满足前述的计算要求。
1.4 差分格式的构造及方程离散
1.4.1 差分格式的构造
Pressimann四点时空偏心格式,是经典Pressimann四点偏心格式的改进。

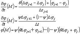
经典偏心格式的特点是围绕矩形网格的M点来取因变量的偏导数进行差分逼近的(见图1-a)。改进的差分格式与上述格式的主要差别产生在空间插值权重因子上,经典格式M点处于距离步长正中,空间权重因子是0.5;改进的格式是引入新的空间权因子参数Ψ(见图1-b)。参照时间权因子的取值,空间权因子Ψ>0.5。差商逼近公式为:

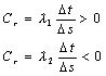
对时空偏心格式的稳定性研究表明,当水流是缓流(Fr<1),因两个根λ1>0或λ2<0,有

此时,时间步长的选取必须注意到,如果对连续方程和运动方程均取θ>0.5和Ψ>0.5,因Cr>0和Cr<0同时存在,则两个离散方程不可能同时进入无条件稳定状态,后者此时是有条件的,其条件为:

这样,如参数选择不当,计算将会出现波动现象直至不稳定。
对此,杨国录教授建议:在使用时空偏心格式时,最好对连续方程和动量方程采用不同的Ψ值,这样可以保证计算的无条件稳定。此时,虽然放弃一点守恒导致产生一点减幅也影响不大。
1.4.2 方程离散
将上述逼近公式代入圣维南方程组,进一步处理,并舍弃高阶微分项,得到如下形式的方程组:
![]()
式中系数略去,不详述。
1.5 模型建立
数学模型的建立也就是引入计算条件,对上述离散方程的求解过程。离散后的方程状如线性方程组,其最简洁的求解方法称为双扫描法,亦称追赶法。
需要说明的是,离散后的方程组对于有N个计算断面(2N个未知数)的模型,仅能建立2(N-1)个前述形式的方程,引入上、下游边界条件是求解所必须的。
2 模型计算条件及验证分析
2.1 计算参数与边界条件
根据数值计算的稳定性要求和工程实际的计算经验,时层权因子θ取值为0.65;空间权因子ψ值在连续方程中取0.50,在动量方程中取0.60。
模型的计算条件由布设断面的原始资料(起点距、高程、间距、糙率)及上、下游边界条件、初始条件构成。
第一边界条件是小浪底的出库流量过程Q=Q(t);第二边界条件采用的是花园口断面的水位流量关系F=F(q,z)。
2.2 计算时段选择
通常的概念是显格式的计算时间步长满足CFL条件,计算结果收敛;隐格式差分计算在选定适当的权因子后,可无条件稳定,计算时间步长可较大。近年的数值试验和工程计算的有关研究表明,显格式的CFL条件只能作为参考,为保证计算结果收敛,Δt宜尽可能小;隐格式适宜计算流动变化较快的水流,但稳定也是有条件的,Δs与入流强度dQ/dt成反比。由于小浪底电站调峰下泄具有间断的特点,剖分的计算时段愈短,入流强度的最值愈大,为保证计算结果的稳定性,就要求Δs愈小。因此,本次计算时段的选择参照显格式的时间步长(按CFL条件计算),试算确定,最终采用的时间步长为500s。
2.3 初始条件及率定
初始条件是指非恒定流起始时刻的水流条件,常为非恒定流开始前的恒定流的流量与水位,也可以是不恒定过程。由于小浪底~花园口河段间未设水文测站,资料匮乏,因此本次模型计算,所需的初始条件通过恒定流的水力计算推求。实际上,恒定流不过是非恒定流的近似描述,因此在非恒定流计算时,上述的恒定流初始条件率定很有必要。
初始条件率定是将200m3/s水面线作为初始条件引入非恒定流模型的试算过程。引入非恒定流模型试算的结果表现为各断面流量以阻尼波形式渐趋向一固定值流量,当该流量值亦为200m3/s时,率定结束。此时的沿程水面线再引入非恒定流模型计算,稳定后的各断面水位、流量为一不变的直线过程。同样方法,可以率定其它流量。
2.4 数学模型验证
该河段有记载的非恒定流资料有两次。
(1)1968年2月三门峡防凌调度。1967年汛末,黄河上游刘家峡水库发生运用失误,导致下游宁蒙河段从1967年12月8日~1968年2月上旬出现凌灾,水电部决定刘家峡水库泄水。为了减轻下游防凌负担,三门峡利用深孔,以时开时闭的方式调控下泄流量,形成了坝下非恒定流态。三门峡、小浪底、花园口、夹河滩四站有水文记录,这也是该河段为数不多的较完整的非恒定流演进资料。
(2)1989年7月三门峡日调节试验。1989年7月7日~15日,结合三门峡水库水流泥沙运动分析,模拟调峰运行了日调节试验。闸门时开时闭,出库流量小则50 m3/s,大则400~2600 m3/s。由于试验期间,区间支流伊洛河发生大洪水,黑石关站7月12日洪峰流量1230 m3/s,使得花园口的流量过程难以反映三门峡水库非恒定流的影响。

本次仅对1968年的两组资料作进行了验证计算。图2表示的是三门峡1968年2月份防凌调度资料验证成果。
从图2-a流量变化看,几个波的峰谷值中,峰值吻合较好,谷值吻合则相对差一些;前几个波比后几个波拟合的好。如果将流量的数值解与实测值的比以幅态因子计,将流速的数值解与实测值的比以相态因子计,波峰的幅态因子接近1,波谷的幅态因子在0.85~0.95;数值解波速与实测波速吻合相当好,表明数值解不存在大的相错位,相态因子接近1。从图2-b看,计算与实测也是峰值吻合较好,谷值吻合则相对较差。从整体上讲,波形比图2-a拟合的好。幅态因子在0.75~1.15间变化,相态因子接近1。
总体来讲,非恒定流模型较好地模拟了1968年2月的流量演进过程。
3 小浪底电站调峰非恒定流的演进及其影响分析
根据小浪底运用初期推荐的典型年电站电能指标,对河南电网进行电力电量平衡,推算出小浪底电站的典型年各月典型日的出库流量过程。对模拟成果的分析如下:
3.1 水位演算成果分析
由于小浪底电站下泄流量变化较快,同时变幅较大,其下游的水位流量呈典型的绳套形关系。表现之一为流量峰值与水位峰值不一致;之二是涨水波时同流量水位较高,落水波时同流量水位较低的现象。
从沿程断面来看,裴峪、伊洛河口以上河段流量、水位变幅较大,水位流量的绳套形关系较明显,其以下河段变化较小,水位流量的绳套形关系不明显,几近单一的递增关系。表明小浪底电站的非恒定流对裴峪、伊洛河口以上河段影响较大,裴峪、伊洛河口以下河段受的影响较小。
从同流量的水位变化看,各断面300 m3/s的水位变幅在0.05m~0.15m之间,同流量水位变化尚不足影响引(提)水工程的正常运行。
3.2 流量演算成果分析
统计表明,小浪底电站充分调峰运用无基流方案时,冬四月各典型日的小浪底坝下流量小于300 m3/s出现11~17h,对小浪底至花园口河段的正常引(提)水影响较大,3~6月及汛期引(提)水也受到不同程度的影响。影响河段的范围而言,多数典型过程影响到孤柏嘴、罗村坡断面,影响长度约85~92km,约占小花河段总长的66~72%,其中断流河段约50km。个别典型过程影响到花园口断面。小浪底电站下泄210m3/s基流后,可消除该不利影响。
4 结论
(1)采用改进的Pressimann四点时空偏心格式,在对连续方程和动量方程采用不同的空间权重因子后,数学模型对流量间断、迅变有较高的分辨率,并不产生伪振荡。
(2)开发的数学模型较好地模拟了实测的三门峡水库非恒定流调度过程。
(3)对小浪底电站调峰非恒定流的模拟分析表明,电站的调峰过程对小花间影响较大,为消除不利影响,推荐小浪底电站下泄基流调峰。
参考文献:1 徐正凡主编,水力学,高等教育出版社,1987年2月
2 K?麦赫默德、V?叶夫耶维奇编,林秉南等译校,明渠不恒定流(第一卷),水利电力出版社,1987年5月
3 谢鉴衡,河流模拟,武汉水利电力学院出版社,1988年
4 杨国录,河流数学模型,武汉水力电力学院出版社,1992年5月
5 杨国录,四点时空偏心Pressimann格式的应用问题,泥沙研究,1991年12月第4期